ChatGPT核心方法可用于AI绘画,效果飞升47%,通讯作者:已跳槽OpenAI

ChatGPT中有这样一个核心训练方法,名叫“人类反馈强化学习(RLHF)”。

它可以让模型更安全、输出结果更遵循人类意图。

现在,来自谷歌Research和UC伯克利的研究人员发现,将该方法用在AI绘画上,“治疗”图像跟输入不完全匹配的情况,效果也奇好——

可以实现**高达47%**的改进。

Image
△ 左为Stable Diffusion,右为改进后效果

这一刻,AIGC领域中两类大火的模型,似乎找到了某种“共鸣”。

如何将RLHF用于AI绘画?

RLHF,全称“Reinforcement Learning from Human Feedback”,是OpenAI和DeepMind于2017年合作开发的一种强化学习技术。

正如其名,RLHF就是用人类对模型输出结果的评价(即反馈)来直接优化模型,在LLM中,它可以使得“模型价值观”更符合人类价值观。

而在AI图像生成模型中,它可以让生成图像与文本提示得到充分对齐。

具体而言,首先,收集人类反馈数据

在这里,研究人员一共生成了27000余个“文本图像对”,然后让一些人类来打分。

为了简单起见,文本提示只包括以下四种类别,分别关乎数量、颜色、背景和混合选项;人类的反馈则只分“好”、“坏”与“不知道(skip)”。

Image

其次,学习奖励函数。

这一步,就是利用刚刚获得的人类评价组成的数据集,训练出奖励函数,然后用该函数来预测人类对模型输出的满意度(公式红色部分)。

这样,模型就知道自己的结果究竟有几分符合文本。

Image

除了奖励函数,作者还提出了一个辅助任务(公式蓝色部分)。

也就是当图像生成完成后,模型再给一堆文本,但其中只有一个是原始文本,让奖励模型“自己检查”图像是否跟该文本相匹配。

这种逆向操作可以让效果得到“双重保险”(可以辅助下图中的step2进行理解)。

Image

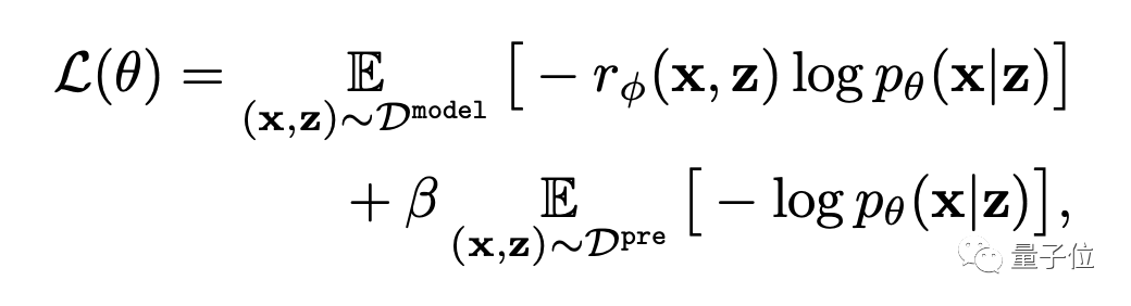
最后,就是微调了。

即通过奖励加权最大似然估计(reward-weighted likelihood maximization)(下公式第一项),更新文本-图像生成模型。

Image

为了避免过拟合,作者对预训练数据集上的NLL值(公式第二项)进行了最小化。这种做法类似于InstructionGPT (ChatGPT的“直系前辈”)。

效果提升47%,但清晰度下滑5%

如下一系列效果所示,相比原始的Stable Diffusion,用RLHF微调过后的模型可以:

(1)更正确地get文本里的“两只”和“绿色”;

Image

(2)不会忽略“大海”作为背景的要求;

登录后可查看完整内容,参与讨论!

立即登录